Scadenza 20 febbraio
S&P500
Continuano i rollover interni di put con chiusure a 6650 e 6750 e nuove aperture a 6875 e 6825. Sul lato call, al contrario, rollover esterni con chiusure di contratti a 7050 e 7225 e nuove aperture a 7275 e 7100. Future praticamente indifferenti e ricoperture sintetiche a 7000.

NASDAQ
Pochissime movimentazioni, solo call a 25400 ep ut a 24000. Future ai minimi termini

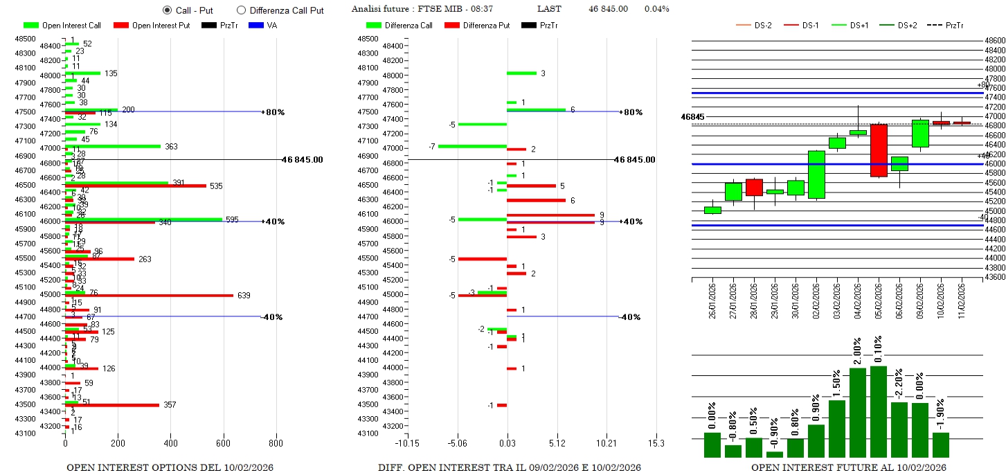
FTSEMIB
Con prezzi fermi e ben sopra Va+60 assistiamo ad un primo alleggerimento di future ma, contemporaneamente, vengono alleggerite call e riposizionate put.

DAX
Aumentano le ricoperture a strike 25000 e 25100 che sembrano essere le aree attrattive per questa scadenza e aumentano call sopra 25400 e put a 24500. Future in lieve aumento ma con numeri relativi bassi.

STOXX
Insistono ad entrare put tra 6050 e 5875 e a chiudere call a 6000 e 6050 con rollover esterni tra 6100 e 6175. Future praticamente invariati.
