Pessima apertura di settimana dove, soprattutto sui mercati americani, i prezzi sono ben sotto la chiusura di venerdì.
Permane comunque una situazione di lateralità e, al momento, solo Dax e Stoxx mantengono valori ancora in fase di momentum.

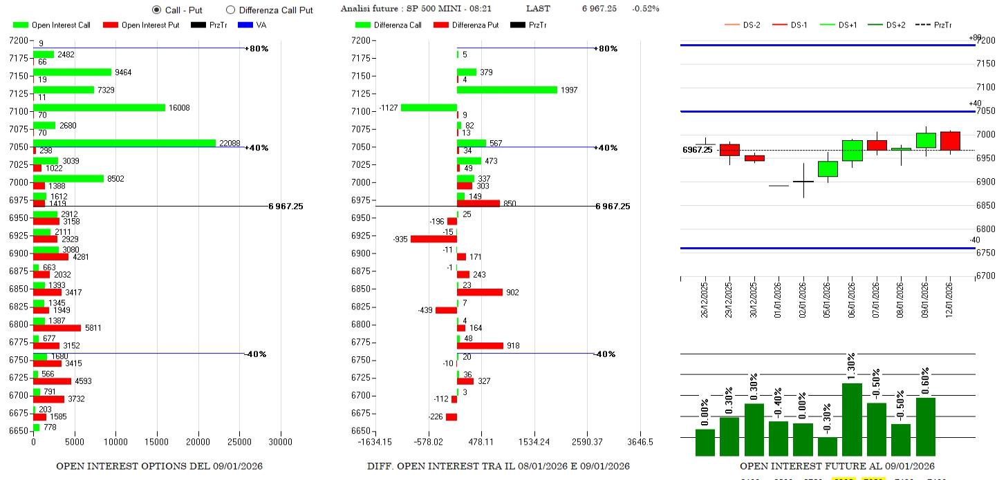
Scadenza Gennaio
S&P500
Sulla chiusura rialzista aumenta la componente future e contemporaneamente vengono rollate internamente put con chiusure a 6925 e 6825 e nuove aperture a 6975 e 6850. Call in aumento fino a 7125 e mercato ancora dentro la propria area di indifferenza.

NASDAQ
La rottura dei massimi precedenti ha provocato un netto aumento di future in copertura long mentre sul lato opzioni si registra un aumento di put a 25700 e chiusure a 25000 e 24500 e forti riposizionamenti di call fino a 26500

FTSEMIB
Piccole prese di profitto con prezzi a ridosso di Va+80 che si sono concretizzate in una lieve diminuzione dei future e in un netto riposizionamento di call a strike 45800

DAX
Forti chiusure di call e alleggerimenti di future su Va+80. Mercato ancora forte anche se qualcuno sta iniziando a prendere profitto

STOXX
Stoxx ancora più forte con netto aumento di future, chiusura di call ovunque e riposizionamenti di put sotto al prezzo. Che dire, nonostante siano arrivati sopra Va+80 non sembrano ancora soddisfatti.
