Mercati sempre sotto pressione con Sp nella parte inferiore del proprio range, Nasdaq in break e in configurazione negativa, Stoxx in pull back della parte superiore del range e Dax ancora fuori e in tendenza positiva.

Scadenza 19 dicembre
S&P500
Forti riposizionamenti di call sopra al prezzo assimilabili ad una configurazione in ladder. Chiusure di call a strike 6800 e riposizionamenti di put da strike 6900 a 6600.

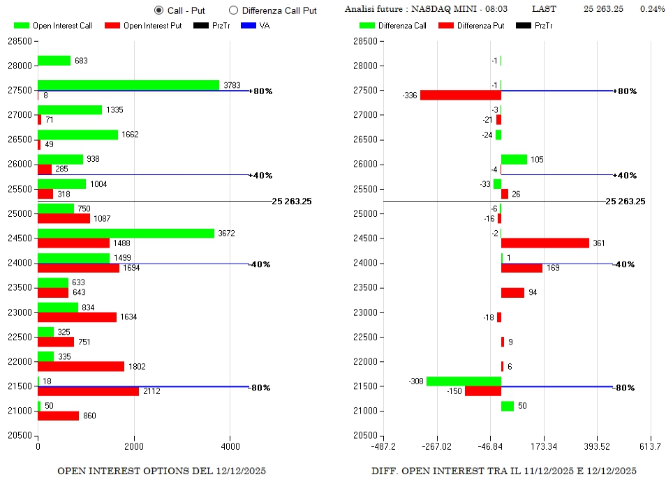
NASDAQ
Chiusura di put Itm e riposizionamenti di contratti a 24500 e 24000. Call in aumento a strike 26000.

FTSEMIB
Sembra esserci ancora forza sul Fib confermata dal numeroso ingresso di call Itm a strike 42000 che hanno scopo di copertura essendo i prezzi quasi a ridosso di Va+80. Per il resto poche movimentazioni tra 44000 e 44200 con riposizionamenti di put e call.

DAX
Nuovi ingressi di put tra 21200 e 21900, alleggerimenti a 24500 e 24700, call nette sopra 24800 e ricoperture sintetiche a 24300

STOXX
Sempre tante put in ingresso sotto al prezzo tra 5800 e 5400 e forti chiusure di call da 5500 a 5750. Nuovi riposizionamenti di call a 5900.
