Ad un giorno delle scadenze tecniche delle quattro streghe tutti gli indici azionari sono rientrati, grazie al ritracciamento dell’ultimo periodo, all’interno dell’area di indifferenza e di gamma flip, ad eccezione del Ftsemib che è rimasto ancora ben sopra a Va+40 ed è ancora in fase di momentum rialzista.

Scadenza 19 dicembre
S&P500
Nette chiusure di put a 6800 e 6650 e nuovi ingressi a 6750 insieme a rollover interni di call con chiusure a 7000 e nuove aperture a 6825 e 6900. Da segnalare il ritorno dei prezzi all’interno di Va0

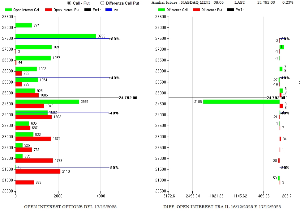
NASDAQ
Prezzi centratissimi all’interno dell’area di di indifferenza e chiusure nette di call a strike Atm 24500. Sul resto della chain solo piccole movimentazioni

FIB
Ogni giorno la stessa storia, qualsiasi cosa faccia il prezzo: chiusure di call e aumenti di put. Mercato italiano che sta sovraperfomando qualsiasi altro indice mondiale.
