Mercati a mezzo servizio con Europa chiusa e America con orario ridotto fino alle 19,45.
Trading system di medio periodo ancora impostato long sia su Sp che su Nq.

S&P500 Gennaio
Ancora una giornata al rialzo e prezzi che arrivano a ridosso di Va+40. future in lieve aumento e, sul mercato delle opzioni, costruzione di un enorme spread di call tra 7000 e 7100 mentre sul lato put insistono sempre nuovi ingressi di contratti da 6875 a 6750.

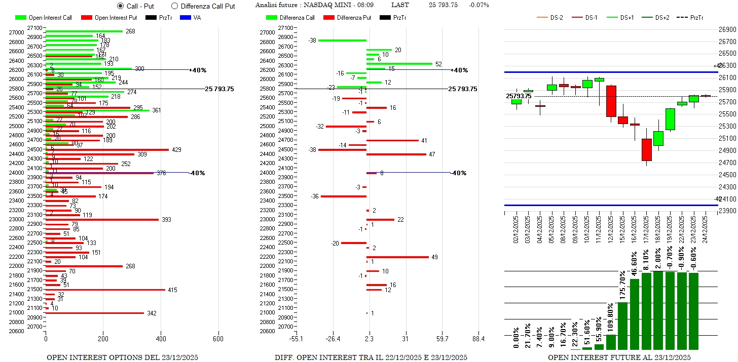
NASDAQ Gennaio
Riposizionamenti di call e put ai lati del prezzo e future in lievissimo alleggerimento.
