Nella giornata di ieri abbiamo assistito ad un forte discesa di tutti i sottostanti: Nasdaq e Dax sono arrivati su Ds-2, Stoxx e Sp sulla prima deviazione, mentre il Gold ha toccato ben tre deviazioni standard, salvo poi recuperare gran parte della discesa nel finale di seduta. Superstar il Ftsemib che è rimasto all’interno delle proprie aree di rischio gamma. Da notare come tutti i sottostanti, ad eccezione del Gold, sono all’interno del proprio Fair Value e dentro una ben consolidata area di range.

I dati di oggi

Scadenza 20 febbraio
S&P500
Sulla discesa si assiste a ricoperture in area 7000, a ingressi di call a 7050 e a forti flussi di put a partire da 6800 fino a 6625. Future poco mossi in coerenza con i prezzi che si trovano perfettamente centrati su Va+0

NASDAQ
Sulla debolezza si assiste a chiusure di future che stavano lavorando in funzione di copertura a ridosso di Va+40 riportando i totali sulla media degli ultimi sette giorni. Mercato centratissimo e riposizionamenti di put tra 25200 e 24500 e call a 26000.

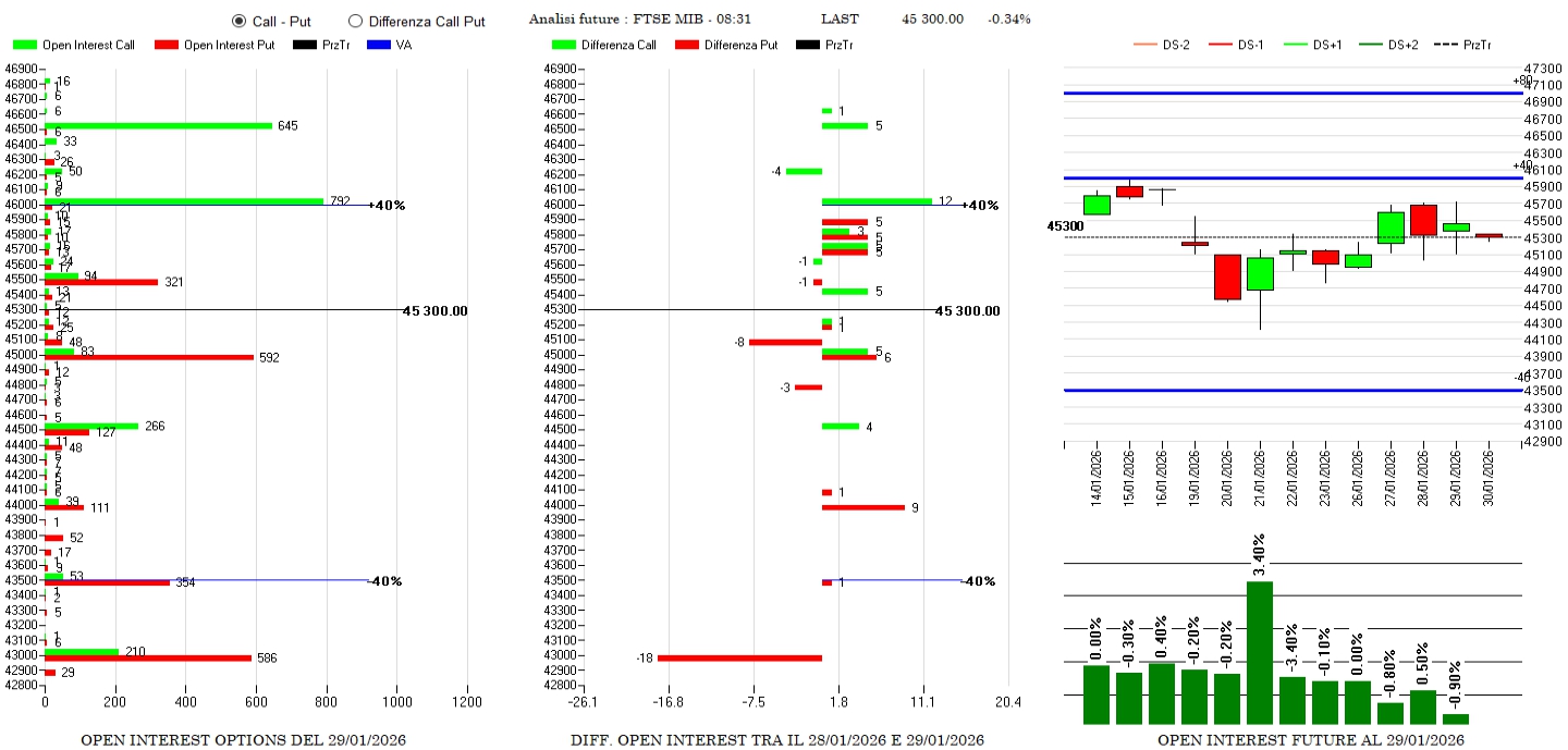
FTSEMIB
Lieve calo dei future e prezzi che sono rientrati nel cuore della ripartizione. Nel comparto opzioni pochi scambi con ingressi di call e put ai lati del prezzo.

DAX
Nonostante la discesa aumenta la componente put e vengono rollate esternamente le call Otm. Future poco presenti e mercato centratissimo anche su questa scadenza

STOXX
Stessa cosa sullo Stoxx con aumenti di put sotto al prezzo e chiusure di call da 5950 fino 6100. Future senza movimento alcuno.
