Mercati americani che dimostrano ancora forza continuando a lavorare nella parte superiore del range e mercati europei sempre in fase di momentum rialzista. Oggi giornata piena di dati che potrebbero far partire movimenti di prezzo e di volatilità.

 

 

Scadenza Gennaio

 

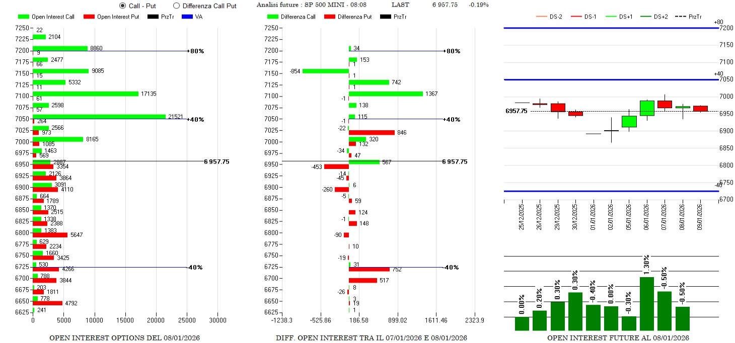
S&P500

Sulla debolezza si assiste a chiusure di future che scendono del -0,5% insieme a chiusure di put a 6950 e 6900. Nuovi riposizionamenti di call a strike 7100 e put Itm a strike 7025.

 

NASDAQ

Sulla rottura al ribasso dei 25700 si assiste a chiusure e alleggerimenti di future. Sul comparto opzioni aumentano le call Otm in area 26500 e vengono rollate esternamente put sotto al prezzo.

 

FTSEMIB

Forte aumento di future che segnano +2,4% e ingressi di put a 45300.

 

DAX

Continua la serie di nuovi massimi assoluti che richiede una forte presenza di future in funzione di copertura delle tantissime call andate Itm, quasi l’80% del totale su questa scadenza.

Nella giornata di ieri ulteriore aumento di future seguito da forti ingressi di put sotto al prezzo, ricoperture sintetiche in area 25200 e chiusure e riposizionamenti di call a 26000.

 

STOXX

Sempre forza anche su Stoxx con prezzi arrivati a ridosso di Va+80 con future in aumento, forti ingressi di put da 5950 e chiusura e rollover esterno di call da strike 5825 a 6050