Il 10 settembre 2025, i principali indici azionari hanno mostrato un andamento positivo con modeste variazioni percentuali. L’S&P 500 ha chiuso in rialzo dello 0,30%, segnando un nuovo massimo storico grazie ad acquisti dovuti a speranze di un taglio dei tassi da parte della Federal Reserve. Il Nasdaq ha registrato un lieve aumento dello 0,03%, spinto da titoli tecnologici come Nvidia e Oracle, quest’ultima protagonista di un rally significativo. In Europa, il DAX ha guadagnato lo 0,79%, mentre lo Stoxx50 è salito dello 0,78%, sostenuto da una generale fiducia degli investitori sulla ripresa economica e dati macro più deboli che alimentano aspettative di una politica monetaria accomodante. I volumi di scambio sono stati in linea con la media, e la volatilità è diminuita dello 1,66%, riflettendo un clima di mercato più calmo. L’attenzione rimane rivolta ai prossimi dati sull’inflazione e alla riunione Fed del 17-18 settembre.

Oggi giornata particolarmente ricca di dati che potrebbero dare luogo a squeeze di prezzo e volatilità. Si comincia alle 14,15 con il tasso di interesse in Europa e si passa, alle 14,30, ai dati sui prezzi al consumo degli States.

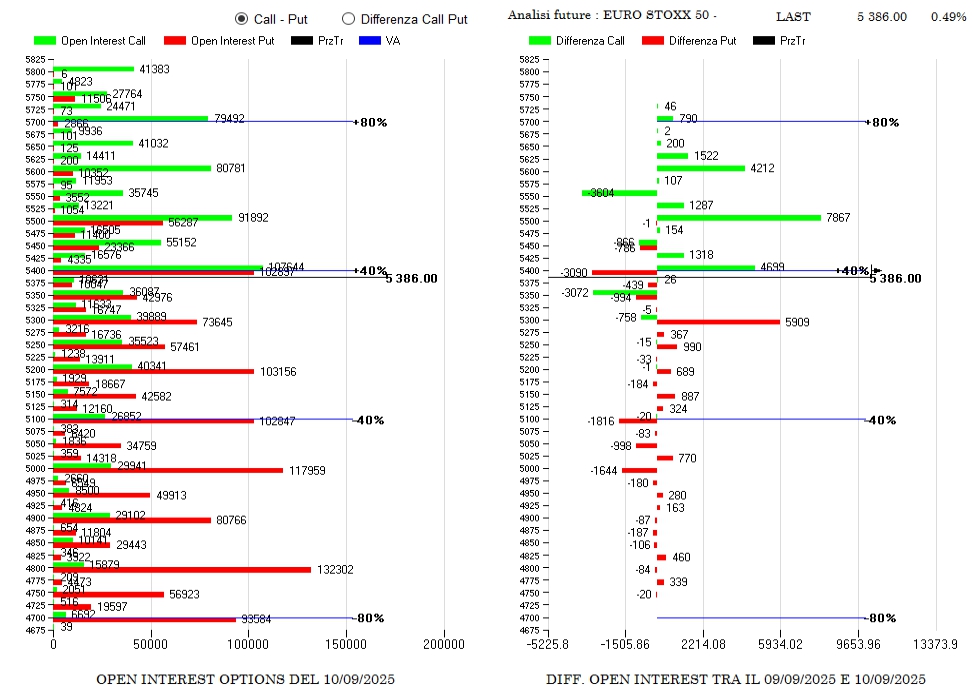
Flussi monetari sulla scadenza Settembre.
S&P500
Prezzi sempre in pressione rialzista con gran lavoro sul lato put da strike 6500 e 6400 fino al lontano strike 6000. Sul lato call solo chiusure a conferma che gli operatori tolgono rischio al rialzo.

NASDAQ
Stessa cosa sul Nasdaq dove sono evidenti le nette chiusure di call a 23700, 24000 e 24500. Di contro, a conferma della forza del sottostante, vengono aperte put a 24000 e 23600.

DAX
Ancora solo put in aumento sotto al prezzo e pochissime call lavorate.

STOXX
Riposizionamenti di put più in basso a strike 5300 e call a 5400 e 5500.

FTSEMIB
Solo put sotto al prezzo a strike 40700 e piccoli riposizionamenti di call da 42000 a 43600.
