I mercati del 10 ottobre 2025 hanno vissuto una giornata folle e molto turbolenta a causa delle dichiarazioni del Presidente Donald Trump. Venerdì scorso, Trump ha annunciato via social un aumento drastico dei dazi sulle importazioni cinesi, portandoli al 100% oltre quelli già esistenti, in risposta alle restrizioni cinesi sulle esportazioni di terre rare. Questa dichiarazione ha provocato un crollo immediato dei mercati: l’S&P 500 ha perso il 2,7%, il Nasdaq è crollato del 4% e il Dow Jones è sceso dell’1,9%, segnando la peggior giornata da aprile. Le azioni tecnologiche e quelle di aziende cinesi quotate negli USA hanno subito forti perdite. Come è finora succeso, nelle ore successive Trump ha mitigato il tono, affermando di non aver cancellato un possibile incontro con il presidente cinese Xi Jinping, rassicurando i mercati. Di conseguenza, stamattina i mercati hanno aperto con forti gap up, recuperando parte delle perdite causate dal panico iniziale.
Piccolo appunto: le parole di Donald Trump generano un impatto sproporzionato sui mercati finanziari riflettono un fenomeno dove i mercati diventano estremamente sensibili alle sue dichiarazioni, spesso imprevedibili e improvvise.
Le sue affermazioni su temi chiave come dazi, politica commerciale o geopolitica generano volatilità immediata perché gli operatori temono cambiamenti politici che possono alterare condizioni di mercato consolidate. Questa dinamica ha trasformato i mercati in una sorta di “ostaggio” delle sue dichiarazioni, con reazioni esagerate anche a messaggi non ufficiali o contraddittori, spesso veicolati tramite social media. Gli investitori, in cerca di anticipare l’impatto reale delle sue parole, amplificano i movimenti di mercato a breve termine, creando alta volatilità e rischio sistemico.
Questo fenomeno evidenzia la vulnerabilità del sistema finanziario alle oscillazioni psicologiche e politiche piuttosto che a fondamentali economici solidi.

Flussi monetari sulla scadenza dicembre
S&P500
Solo chiusure di call a strike 6700 e riposizionamenti di contratti call in area 6850 e di put da 6600 a 6300. Future in aumento a confermare che sono entrate le prime coperture sul gamma put durante il ribasso. Vedremo se questo provocherà i classici short squeeze.

NASDAQ
Chiusure di put a 25000 e 24500 e riposizionamenti a 24500. Aumenti di call a 25500 e future in calo. Non sembra esserci alcuna paura da giustificare aumenti di volatilità.

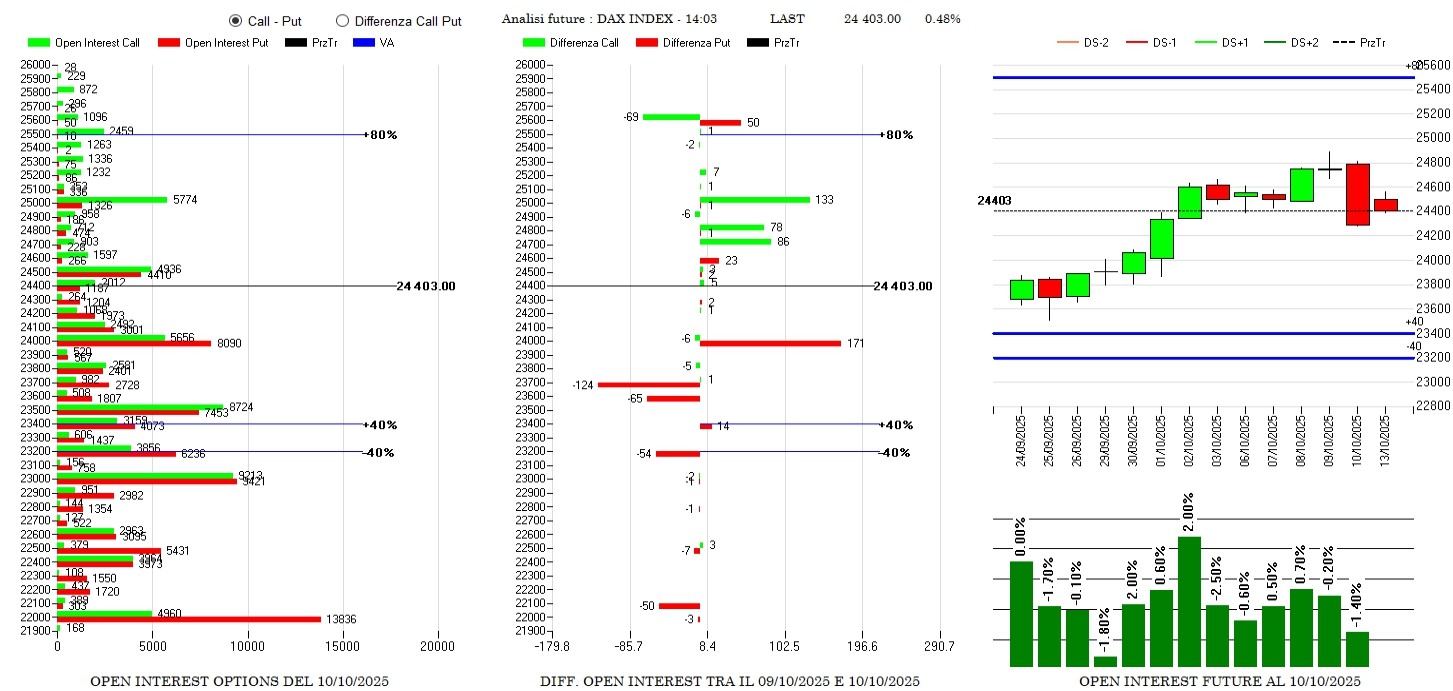
DAX
Aumentano le call sopra al prezzo, vengono riposizionate put con chiusure in area 23700 e riaperture a 24000 e vengono alleggeriti i future.

STOXX50
Anche qua aumentano le put sotto al prezzo mentre i future non vengono modificati nelle quantità. Call in aumento da strike 5750
