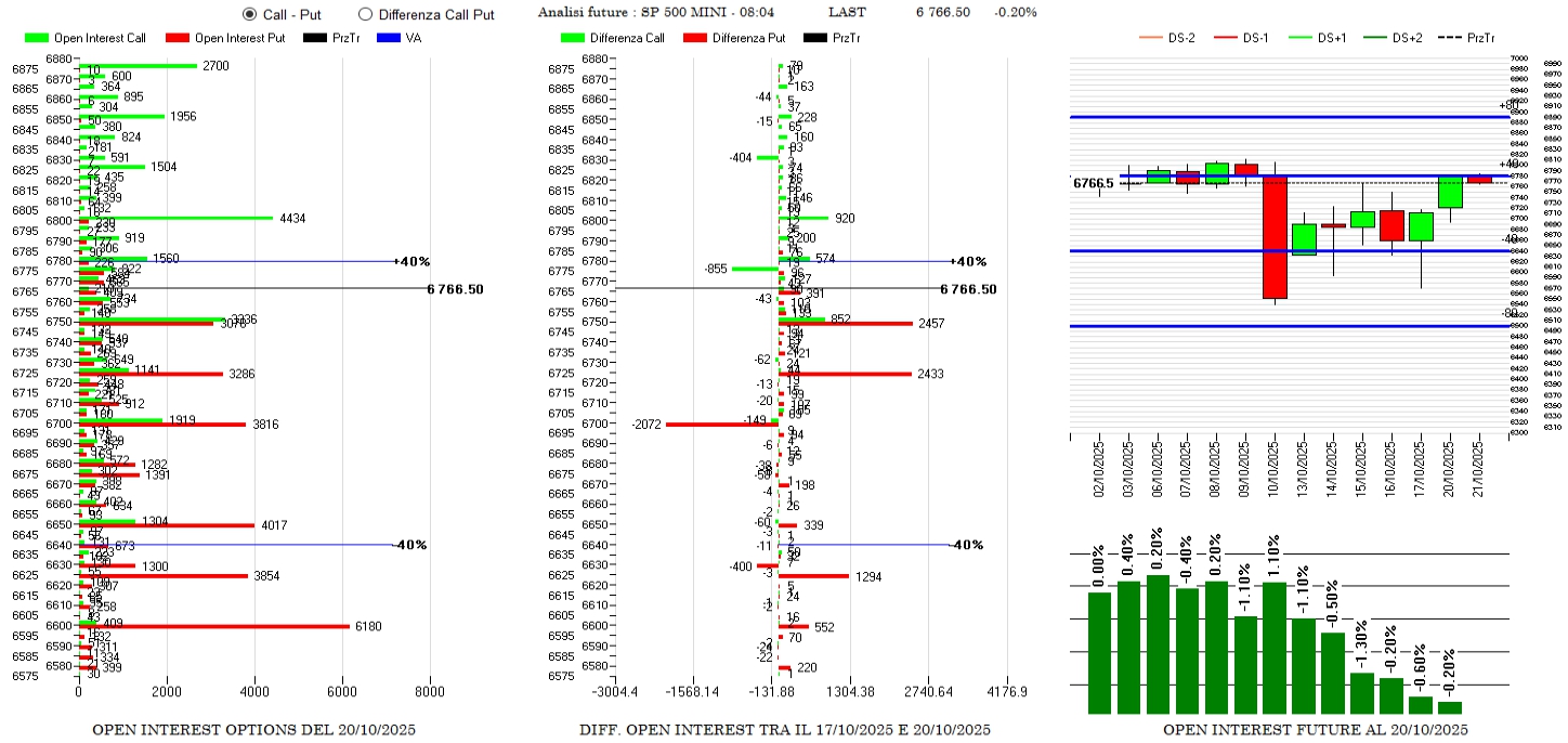
Scadenza Settimanale
S&P500
Chiusure di call a strike 6770 e 6830 e riposizionamenti a strike 6800. Put in aumento a 6750 e 6725 ma future in lieve calo a conferma di ulteriori alleggerimenti e prese di profitto.

NASDAQ
Future in forte aumento di +2,4% a conferma della pressione rialzista in atto su questo sottostante a ridosso di va+40. Sul lato opzioni chiusura di call a strike 25200 e riposizionamenti a 25400 e 25550 e nuovi riposizionamenti di put sotto al prezzo.

Scadenza Trimestrale
S&P500
Forti chiusure di put e di call sotto al prezzo e riposizionamenti sintetici a 6700 e 6775 insieme a put a strike 6650.

NASDAQ
Rollover interni di put con chiusure a strike 21500 e nuove aperture a 23000 e 24000. Sul lato call solo chiusure a 26500.

DAX NOVEMBRE
Ricoperture sintetiche a 24100, piccoli ingressi di put in area 23600 e gran lavoro di call da 24600 e 25000. Future senza variazioni.

STOXX NOVEMBRE
Chiusura di call da strike 5500 a strike 5750 e forti riposizionamenti tra 5775 e 5900. Put a distanza ma in aumento a 5400 e future senza variazioni particolari e insufficienti a giustificare la rottura di ds+40.
