S&P500 24/10
Posizionamenti di put da strike 6750 a 6650. Ricoperture sintetiche tra 6755 e 6780. Chiusura di call a 6750 e 6825 e riposizionamenti tra 6810 e 6855. Future senza variazioni particolari e sui minimi di periodo a conferma di un mercato dove non sono, per il momento, previste particolari azioni di hedging e con volatilità implicite in ulteriore calo.

S&P500 19/12
Pochi contratti scambiati, il grosso sono state chiusure di put a strike 6300 e in area 6600. Di contro si assistono a piccoli riposizionamenti di call tra strike 7000 e 7200 e di put tra 6675 e 6500.

NASDAQ 24/10
Forti ingressi di call a 25300 e 25700 e piccoli riposizionamenti di put su tutta la chain sotto al prezzo. Future in lieve aumento ma sempre sotto la media di periodo.

NASDAQ 19/12
Sui massimi relativi si assiste a chiusure di put a strike 24000 e a forti aumenti di call su Va+80 a strike 26500 e 27000.

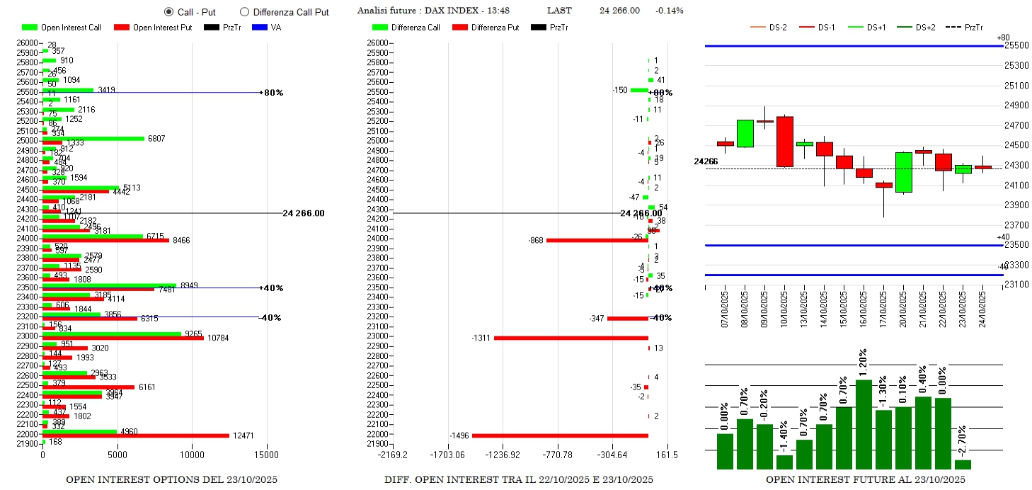
DAX 19/12
Forti alleggerimenti di contratti future a cui segue una vera e propria fuga di put dal mercato da strike 24000 a strike 22000, tanto da far venire dubbi sulla bontà dei dati trasmessi da Eurex.

STOXX 19/12
Al contrario su Stoxx50 i future aumentano e toccano i massimi di periodo insieme ad una sovra abbondanza di put sotto al prezzo. Call in rollover.
