La giornata di borsa del 3 settembre 2025 ha visto l’S&P 500 salire dello 0,5%, sostenuto principalmente da importanti titoli tecnologici come Alphabet e Apple, dopo una sentenza favorevole nel caso antitrust contro Google. Anche il Nasdaq ha registrato una performance positiva, con un incremento di circa l’1%, trainato dall’ottimismo degli investitori per possibili tagli dei tassi di interesse da parte della Federal Reserve.
In Europa, il Dax ha subito una leggera flessione, con un calo prossimo all’1%, mentre l’indice EuroStoxx 50 è aumentato di circa l’1,5%, sostenuto da titoli tecnologici e raccomandazioni positive su alcune società come Adidas. La stabilizzazione del mercato obbligazionario ha contribuito a sostenere gli indici europei, in attesa dei dati sul mercato del lavoro negli Stati Uniti.
L’atmosfera generale è stata di cauta ottimismo, con particolare attenzione alle manovre della Fed e ai dati occupazionali imminenti.

Oggi giornata ricca di importanti dati che potrebbero provocare squeeze di prezzo e volatilità.
Si parte alle 14,15 con l’Adp, si continua poi con i sussidi della disoccupazione e si termina poi con l’Ism.

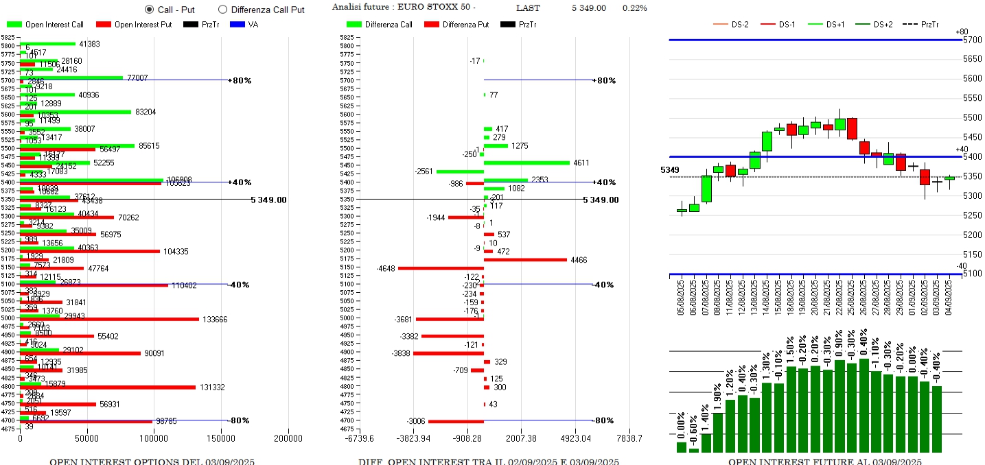
Flussi monetari sulla scadenza settembre.
S&P500
Netti alleggerimenti di put sotto al prezzo a 6350 e 6250 e riposizionamenti a 6300 e 6000. Sul lato call si assiste ad netto aumento di contratti da 6500 a 6700. Future senza variazioni di rilievo.

NASDAQ
Nette chiusure di posizioni sintetiche a strike 23500 insieme a put a strike 23000 e call a 23800. Future ai minimi termini e poco attivi sul mercato.

DAX
Prezzi nel cuore della ripartizione e operatori che lavorano i lati con ingressi di put a 2300 e 22300 e di call a 24000. Future in pressione durante la debolezza.

STOXX
Aumentano le call tra 5450 e 5400 e aumentano le put a 5175. Chiusure abbastanza nette da 5150 a 4700 e future in alleggerimento sulla debolezza.

FTSEMIB
Alleggerimento di future e mercato lavorato solo con ingressi di call a 41600 e 43000.
